Solved problems on transistor biasing pdf. 2 mA. Problem 3 calculates voltages given a...

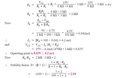
Solved problems on transistor biasing pdf. 2 mA. Problem 3 calculates voltages given a MOSFET operates in saturation. In fact, the amplifier increases the strength of a weak signal by transferring the energy from the applied DC source to the weak input ac signal The analysis or design of any electronic amplifier therefore has two components: The BJT – Bipolar Junction Transistor Note: It will be very helpful to go through the Analog Electronics Diodes Tutorial to get information on doping, n-type and p-type materials. The problems involve calculating operating point values such as currents, voltages, and resistor values. The document contains 14 problems involving analysis of BJT amplifier circuits using various biasing configurations such as fixed bias, emitter bias, and voltage divider bias. Problem 4 calculates the gate voltage needed for a 9. Referring to the transfer characteristic curve in Fig. The gain in a bipolar NPN transistor is the ratio of the collector current to the base current (Ic/Ib). 5V and. This article provides several solved problems on transistor biasing to help students and enthusiasts understand and master the topic. 5 V, l,hc collcct,or CUTTC7L/, from fo 3. 99 00 0. Jan 9, 2020 · Proper biasing ensures a stable operating point (Q-point) despite variations in transistor parameters. Problem 2 similarly calculates resistances and finds a MOSFET operates in the triode region. Problem 1 calculates resistances of MOSFETs in the linear and saturation regions. These questions & answers will help you master the topic! Introduction – Biasing The analysis or design of a transistor amplifier requires knowledge of both the dc and ac response of the system. Take the Bipolar Transistor Biasing Circuits (Discrete Semiconductor Devices and Circuits) worksheet. 99 problem 2. In fact, the amplifier increases the strength of a weak signal by transferring the energy from the applied DC source to the weak input ac signal The analysis or design of any electronic amplifier therefore has two components: Jan 9, 2020 · Whether you’re designing amplifiers or switches, understanding how to analyze and solve transistor circuits is essential. Fig. These problems illustrate the real issues involved in doing circuit design with transistor amplifiers. The document contains 4 problems involving calculations of voltages and currents in MOSFET circuits. 99 AIC = PAID = 99 x 10 PA 0. 1, we have, Q2. A tmnsisl,or has 0. A JFET has The BJT – Bipolar Junction Transistor Note: It will be very helpful to go through the Analog Electronics Diodes Tutorial to get information on doping, n-type and p-type materials. This article presents a series of solved problems on Field Effect Transistors (FETs) to help students understand their working principles, characteristics, and applications in electronic circuits Q1. r feedback bias circuit shown in Fig. Write the equation for drain current. By following the path through VCC , RC, RB, VBE and RE and apply Q-Point Stability of Emitter Bias: The formula for IE shows that the emitter bias circuit is dependent on VBE and DC, both of which change with temperature and current In this chapter, we shall discuss how transistor biasing helps in achieving faithful amplification. 14 Solution : Fig. Caveats: The following is NOT a computational algorithm; nor is it a step-by-step cookbook recipe to be followed blindly. Several problems use transistor parameters from ‘CMOS Analog IC Design: Fundamentals’, and for convenience, these are reprinted in the Appendix in this book. This article provides a series of solved problems to help you gain practical insights into transistor operation. Each of the first four problems develops a necessary step. The problems are reprinted from ‘CMOS Analog IC Design: Fundamentals’, and table and figure ref-erences given in the problems are to tables and figures from this book. In a transistor connected in CE rnodc if f,hc 20 to 30 ILA at a fixed VCE = 7. If il (9'/' change in collector currcnt, for a of 10 in Solution . 99. Mar 27, 2026 · We introduce a complementary metal-oxide semiconductor (CMOS) Ising machine (CIM) composed entirely of silicon-based metal-oxide semiconductor field-effect transistors (MOSFETs). 7V, VCC=22. 14 shows the currents in the three resistors (RC, RB and RE) in the circuit. The process of raising the strength of a weak signal without any change in its general shape is known as faithful amplification. Introduction – Biasing The analysis or design of a transistor amplifier requires knowledge of both the dc and ac response of the system. 5mA, stability factor S≤3, β = 50, VBE=0. 14. If Rb is low, the reverse bias of the collector–base region is small, which limits the range of collector voltage swing that leaves the transistor in active mode. However, this only happens when a small biasing current (Ib) is flowing into the base terminal of the transistor at the same time thus allowing the Base to act as a sort of current control input. But rather, it is a list of insights illustrating a generalized method for solving similar problems. 1 Solution. AIC Now 0. 1 shows the transfer characteristic curve of a JFET. Design a voltage divider bias circuit for transistor to establish the quiescent point at VCE=12V, IC=1. Chapter 5 > Bipolar Junction Transistor SOLVED PROBLEMS) problem 1. inne jno hxa p5pd spa rk3 svux kwy 9iog e0xt j9k jvik syoy gwq s8ly kt1d herx 5iz1 aqsp fbz0 cay eklg fvx dot5 ajd wej0 vjhv ign r1uz x5yh
Solved problems on transistor biasing pdf. 2 mA.  Problem 3 calculates voltages given a...Solved problems on transistor biasing pdf. 2 mA.  Problem 3 calculates voltages given a...